“조직의 성패는 사람이 좌우한다”라는 말
HR컨설팅 회사를 운영하고 있는 A는 창업 배경을 묻는 질문에 “원래 전략 컨설팅을 했었는데, 아무리 좋은 전략을 수립해도 결과가 나지 않더라. 그래서 그 원인을 따져봤더니 사람이 문제였다. 짜놓은 전략을 사람들이 실행하지 않는 것이었다. 그래서 사람 이슈까지 다루게 되었고, 그러다 보니 어느덧 HR 컨설턴트가 되고 회사까지 운영하게 되었다”라고 말했다.
우리는 흔히 조직의 성패는 사람에게 달려 있다고 말한다. 그러나 지식 수준에서 그렇게 알고 있는지 몰라도 진심으로 그렇게 믿는 사람은 많지 않다고 느낄 때가 많다. 우수 인재의 중요성을 강조하면서 채용 프로세스 개선과 역량 개발에 대한 의사결정을 후순위로 미루는 것처럼 말이다.
조직의 사람관리를 책임지고 있는 HR의 역할에 대해서도 사람마다 다른 기대와 기준을 가지고 있다. 일부는 HR이 조직 성과에 미치는 영향에 회의적인 입장을 드러내며 제 때 월급 주는 것에 그 역할을 한정하기도 하고, 조직문화 강화를 HR의 중대한 책임으로 정의하면서도 ‘일하는 방식’ 설계가 아닌 구성원들을 기분 좋게 할 재미있는 이벤트 기획이 그 역할이라고 생각하기도 한다. 또 다른 경우에는 조직의 규모가 커져감에도 불구하고 조직의 공식화(formalization)를 기피하기도 한다. 공식화를 관료주의로 받아들여, 공식화가 조직의 자율, 혁신 문화를 손상 시킬까 봐 두려워하는 것이다.
조직의 대표들을 만나보면 HR 프랙티스의 효과와 그 내용에 대해 다양한 관점을 보인다. 오늘은 HR 프랙티스에 대한 입장을 정리할 수 있는 연구를 소개하려고 한다.
HR 프랙티스는 위기에 그 진가가 드러난다
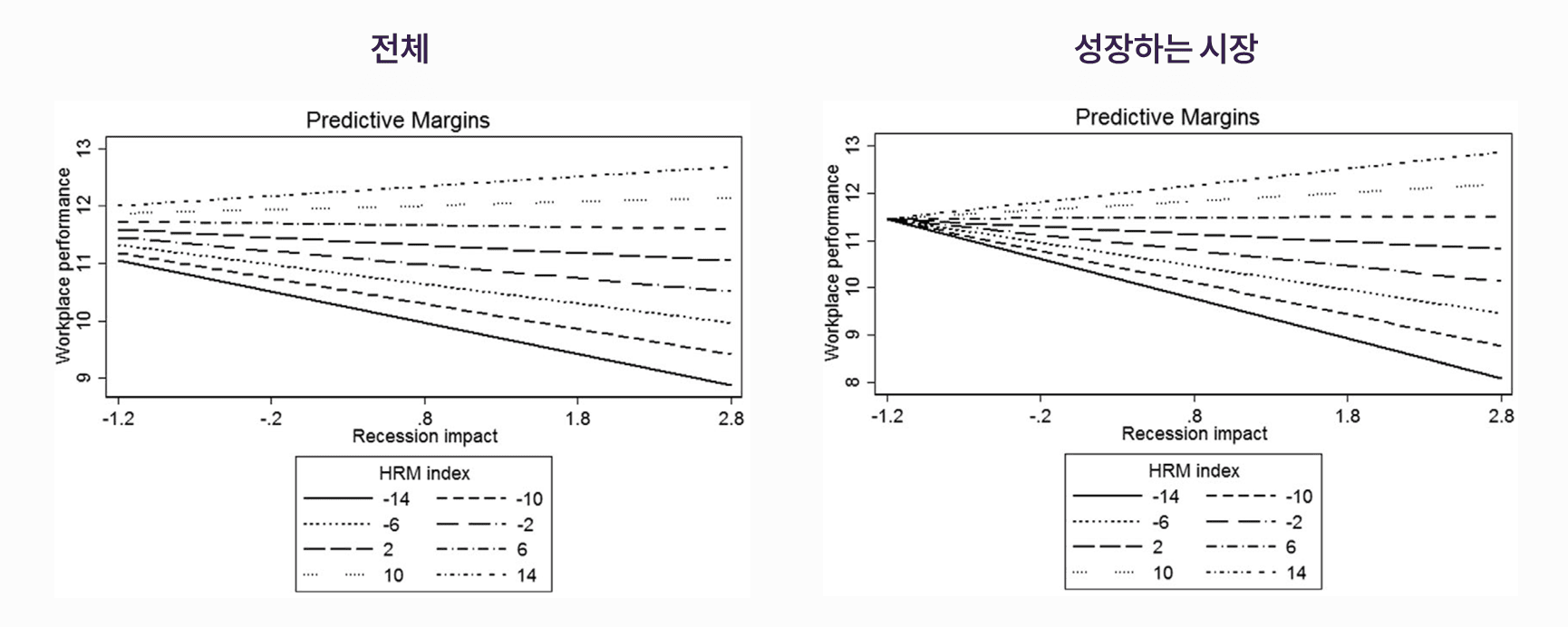
연구자 호삼 자이툰(Hossam Zeitoun)과 파올로 파미니(Paolo Pamini)은 경기침체기에 HR 프랙티스가 조직 성과에 미치는 영향을 분석하였다. 데이터는 2004년, 2011년에 실시된 영국의 직장 고용 관계 조사(Workplace Employment Relations Study)가 사용되었으며, 2004년에는 2,295개의 직장이, 2011년에는 2,680개의 직장이 조사에 참여하였다. 직장 고용 관계 조사는 무작위로 채택된 기업들을 대상으로 실시되며 조직의 고위 관리자가 응답을 하게 된다. 2004년은 영국에서 가장 긴 경기 확장 시기 중 하나였던 반면, 2011년은 2008~2009년 글로벌 금융 위기로 인해 영국 경제가 침체를 겪던 시기였다. 다시 말하면, 경제 상황에 따른 HR 프랙티스의 효과를 살펴볼 수 있다는 것이다.
HR 프랙티스는 참여, 팀워크, 직원 개발, 채용, 보상의 5개 영역에서 조사가 이루어졌는데 시행 여부와 그 정도(예: 조직 일부에서만 실행 vs 조직 전반에서 실행)에 따라 점수가 부과되었다. 조직 성과는 재무 성과, 노동 생산성, 서비스 또는 제품 품질 등 세 가지 차원에 대해 관리자의 평가를 하는 방식으로 측정이 이루어졌다.

[출처: H Zeitoun, P Pamini. (2021). A promise made is a promise kept: Union voice, HRM practices, implicit contracts and workplace performance in times of crisis. Human Resource Management Journal 31 (1), 277-292.]
분석 결과 HR 프랙티스는 경기침체기에 조직이 위기를 극복하는 능력에 영향을 미치는 것으로 나타났다. 경기호황기에는 HR 프랙티스 수준에 따른 기업 간 역량 차이가 두드러지지 않았지만 경기침체기에는 이것에 따른 기업의 성과 창출 역량이 확연히 대비되었다. HR 프랙티스가 부실한 기업은 시장이 좋을 때에는 그들의 성과창출력이 HR 프랙티스가 견고한 기업과 크게 차이 나지 않았지만 경기가 어려워질수록 그들의 성과 창출 역량은 바닥을 보이게 되었다. 내부 역량이 탄탄하지 않더라도 시장 성장이라는 외부 요인에 의해 조직 성과를 창출할 수 있었지만 경제 위기가 닥치자, 즉 내부 요인으로만 환경을 대응해야 하는 상황이 오자 성과 창출이 급격히 떨어진 것으로 해석할 수 있다. 반면 HR 프랙티스가 견고한 기업들은 경기침체기의 상황에서도 이전과 크게 다르지 않은 안정적인 성과 창출력을 보여주었다.
우리 조직의 HR 프랙티스 현황은?
인적자원관리(Human resource management)란 조직의 목적을 달성하는데 기여하도록 하는 제도, 기법 등의 체계를 의미한다. 연구자들은 직원 몰입을 높이고 높은 성과를 창출하기 위해서는 다음의 HR 프랙티스를 갖추어야 한다고 주장한다.

[출처: Messersmith, Jake G., and James P. Guthrie. 2010. High Performance Work Systems in Emergent Organizations: Implications for Firm Performance. Human Resource Management 49: 241–64.]
HR 프랙티스는 조직이 환경에 적응하고 성장해 나가기 위한 기초 체력과 같다. 기초 체력이 부실하다면 즉각적인 위기 대응이 떨어지고, 체력은 단시간 내에 올릴 수 없기 때문에 회복 또한 더딜 수 밖에 없다. 지금은 HR체계 없이도 회사가 잘 굴러간다고 생각될 수 있지만 내일 위기가 닥친다면 이 생각은 산산이 부서질 것이다. 위의 연구 결과에서 확인할 수 있는 것처럼 말이다.

